La condensation de Stobbe, également appelée condensation d'esters succiniques, est une réaction organique découverte par le chimiste allemand Hans Stobbe en 1893,. Il s'agit d'une condensation d'un diester succinique avec un composé carbonylé (aldéhyde ou cétone) en présence d'une base forte,. La réaction peut être considérée comme une variante ou un cas particulier de la condensation de Claisen, réservée aux dérivés succiniques, et nécessitant une base moins forte.
Réaction générale
Dans la condensation de Stobbe, les diesters succiniques (ou leurs dérivés) sont attachés au groupe carbonyle de l'aldéhyde ou de la cétone via une condensation aldolique sur l'atome de carbone en α d'une des fonctions ester. L'adduit produit est un ester α,β-insaturé, la seconde fonction ester ayant été saponifiée.
Les goupes R1 et R2 peuvent être aliphatique ou aromatiques, les groupes R3 et R4 peuvent être des groupes aryle, allyle ou alkylidène. La réaction est également possible avec des composés carbonylés α,β-insaturés et des cyanocétones. Une particularité de cette réaction est que même les cétones encombrées stériquement peuvent réagir.
Un exemple de cette réaction est la réaction de la benzophénone avec le succinate de diéthyle :
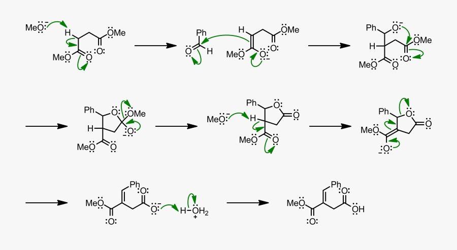
Mécanisme réactionnel
Plusieurs mécanismes réactionnels ont été proposés pour de la condensation de Stobbe, dont le suivant. Dans cet exemple, on choisit l'aldéhyde le plus simple, le formaldéhyde et un ester succinique aliphatique, le succinate de diéthyle :
Tout d'abord, l'un des hydrogènes α centraux du succinate de diéthyle (1) est attaqué par la base (déprotonation), formant un carbanion (2). Celui-ci s'additionne de façon nucléophile au formaldéhyde (3). L'anion d'oxygène résultant s'attache ensuite de manière nucléophile à l'atome de carbone adjacent, formant une molécule cyclique (4). Un éthanolate est ensuite clivé par la formation d'une lactone. Le deuxième hydrogène α est attaqué par la base, menant à la formation d'une liaison double α-β, et à l'ouverture du cycle de lactone (5). Ce dernier intermédiaire est enfin protoné, donnant l'ester α,β-insaturé final (6).
Propriétés
Cette réaction présente des rendements élevés du fait de l'ouverture quasi irréversible des cycles. Comparée à la condensation de Knoevenagel, la condensation de Stobbe permet d'ajouter une chaîne carbonée à trois atomes, contre seulement deux pour la première,.
Applications
La condensation est utile pour remplacer le groupe carbonyle des cétones aromatiques par un résidu d'acide propanoïque. On peut également préparer, les naphtols, les indénones et les tétralones en utilisant cette condensation en combinaison avec la réaction de Friedel-Crafts. Il est également possible de synthétiser des γ-cétoacides.
La condensation de Stobbe condensation est utilisée dans la première étape de la synthèse de la tamétraline (en) de Reinhard Sarges ; elle peut également servir dans la synthèse du diméfadane.
Notes et références
- (de) Cet article est partiellement ou en totalité issu de l’article de Wikipédia en allemand intitulé « Stobbe-Kondensation » (voir la liste des auteurs).
Voir aussi
- Aldolisation
- Condensation de Claisen
- Condensation de Knoevenagel
- Réaction de Perkin
- Condensation de Pechmann
- Synthèse d'Erlenmeyer
- Portail de la chimie




![]()